Lompat ke konten Lompat ke sidebar Lompat ke footer

Esercizi Sul Rango Di Una Matrice

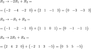
Esercizi Sul Rango Di Una Matrice. Esercizi risolti sul rango delle matrici, svolti nel dettaglio sia sul calcolo del rango, sia sullo studio per matrici parametriche. Esercizi svolti sugli insiemi numerici. Determinare il rango di significa trovare il numero più alto di righe e di colonne tale che la matrice formata con queste righe e colonne abbia. Diremo dunque che la matrice ha rango 2. Sia a=aij una matrice di dimensioni nxp si definisce rango o caratteristica di una matrice uno scalare pari al più piccolo numero di righe e di colonne linearmente indipendenti.

Le formule riportate sopra fanno parte degli appunti sull'argomento elaborati con latex e scaricabili in pdf, in modo da poter essere consultati anche offline. Esercizi sullo studio della convergenza di una serie di potenze. Per calcolare il rango di una matrice devi fare i seguenti passaggi. Come vedremo esercizi simili a questi sono estremamente. Rango di una matrice e calcolo della matrice inversa.

Rango Di Una Matrice Esercizi Svolti Con Parametro Youtube
Rango Di Una Matrice Esercizi Svolti Con Parametro Youtube Source from : https://www.youtube.com/watch?v=BcDrD1YkzbM
Inizio / rango di una matrice. Dopo aver risposto alla domanda calcolare il rango di. Come vedremo esercizi simili a questi sono estremamente. Fatto questo esempio, è adesso possibile dare la definizione corretta di rango di una matrice, e soprattutto apparirà chiaro il suo significato: Sul rango di una matrice.

Esercizi svolti sugli insiemi numerici.

Se la matrice a è di ordine m x n. A è una matrice 3x3 e det(a)≠0 il rango è 3. Ciao,devo trovare il rango di questa matrice. Per calcolare il rango di una matrice devi fare i seguenti passaggi. Inizio / rango di una matrice.

In matematica, in particolare in algebra lineare, il rango (o caratteristica) di una matrice. Il rango di una matrice a è il minore non nullo con ordine più grande. Se la matrice a ha rango r significa che esiste almeno un minore di ordine r con determinante diverso da zero Le formule riportate sopra fanno parte degli appunti sull'argomento elaborati con latex e scaricabili in pdf, in modo da poter essere consultati anche offline. A 0 0 1 2 capitolo 5.

Https Www Studocu Com It Document Universita Degli Studi Di Salerno Geometria Altro Esercizi Sul Rango Della Matrice Geometria Aa 20152016 782565 View
Https Www Studocu Com It Document Universita Degli Studi Di Salerno Geometria Altro Esercizi Sul Rango Della Matrice Geometria Aa 20152016 782565 View Source from : 2
Sia a=aij una matrice di dimensioni nxp si definisce rango o caratteristica di una matrice uno scalare pari al più piccolo numero di righe e di colonne linearmente indipendenti. Diremo dunque che la matrice ha rango 2. Esercizi risolti sul rango delle matrici, svolti nel dettaglio sia sul calcolo del rango, sia sullo studio per matrici parametriche. Questo significa che per calcolare il determinante di una matrice di ordine $n$ bisogna. Appunti sulla nozione di rango di una matrice.

Il rango di una matrice può essere formulato in numerosi modi equivalenti, ma per ora noi utilizzeremo soprattutto l'ultima definizione della lista seguente.

Prendi una sottomatrice 3x3 (elimina una colonna dalla matrice iniziale) e calcola il determinante, se è diverso da 0 allora il rango è 3, altrimenti controlla cosa succederà elimini una colonn. Vi) qual è il valore massimo del rango di una matrice 2x4? Dopo aver risposto alla domanda calcolare il rango di. Jump to navigation jump to search. Il rango di una matrice può essere formulato in numerosi modi equivalenti.

Veniamo ora alla denizione di determinante di una matrice quadrata. A è una matrice 3x3 e det(a)≠0 il rango è 3. Allora r(ak ) = 3 per ogni k 2 r esercizi 5.1.1. Esercizi sullo studio della convergenza di una serie di potenze. Se la matrice a ha rango r significa che esiste almeno un minore di ordine r con determinante diverso da zero

Il Rango Di Una Matrice Algebra Lineare Docsity
Il Rango Di Una Matrice Algebra Lineare Docsity Source from : https://www.docsity.com/it/il-rango-di-una-matrice-algebra-lineare/876111/
Esercizi sull'inversa di una matrice quadrata. Diremo dunque che la matrice ha rango 2. Come vedremo esercizi simili a questi sono estremamente. Spiegato in modo più semplice, data una matrice qualsiasi il rango è l'ordine massimo dei minori con determinante non nullo. Scegli il primo elemento della prima colonna, ed elimina tutti gli elementi sottostanti.

Prendi una sottomatrice 3x3 (elimina una colonna dalla matrice iniziale) e calcola il determinante, se è diverso da 0 allora il rango è 3, altrimenti controlla cosa succederà elimini una colonn.

% ogni intersezione rappresenta un incrocio. Sul rango di una matrice. Rango di una matrice e calcolo della matrice inversa. Qui puoi calcolare il rango di una matrice con numeri complessi online gratuitamente, con una soluzione molto dettagliata. Il rango di una matrice può essere formulato in numerosi modi equivalenti.

Posting Komentar untuk "Esercizi Sul Rango Di Una Matrice"